HUMAN RIGHTS WATCH The Internet In The Mideast And North Africa: Free Expression and Censorship
Arabic Version
Appendix C - Yemen
Previous Page   Next Page


DOWNLOAD

CONTENTS

SUMMARY

RECOMMENDATIONS

ORDER THIS REPORT

Encryption and Human Rights

HRW HOME



Bahrain

Iraq

Jordan

Morocco

Saudi Arabia

Syria

Tunisia

United Arab Emirates



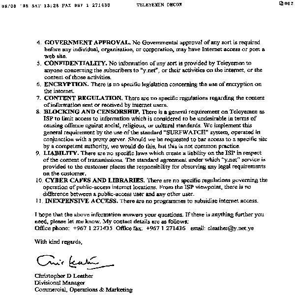
Replies to Human Rights Watch letter received from official of Yemen

Replies to Human Rights Watch letter received from official of Yemen

Replies to Human Rights Watch letter received from official of Yemen

Top Of Page

Previous Page   Next Page

© June 1999
Human Rights Watch